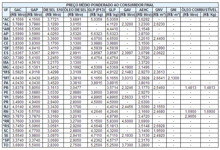
Divulga o Preço médio ponderado ao consumidor final (PMPF) de combustíveis.
O SECRETÁRIO-EXECUTIVO DO CONSELHO NACIONAL DE POLÍTICA FAZENDÁRIA – CONFAZ, no uso das atribuições que lhe são conferidas pelo inciso IX, do art. 5° do Regimento desse Conselho e
CONSIDERANDO o disposto nos Convênios ICMS 138/06, de 15 de dezembro de 2006 e 110/07, de 28 de setembro de 2007, respectivamente, divulga que as unidades federadas indicadas na tabela a seguir adotarão, a partir de 1° de julho de 2017, o seguinte preço médio ponderado ao consumidor final (PMPF) para os combustíveis referidos nos convênios supra: